PUC-1

SEM-1

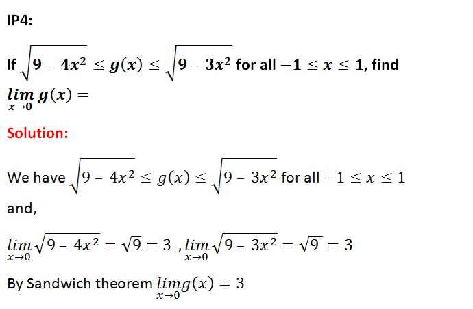
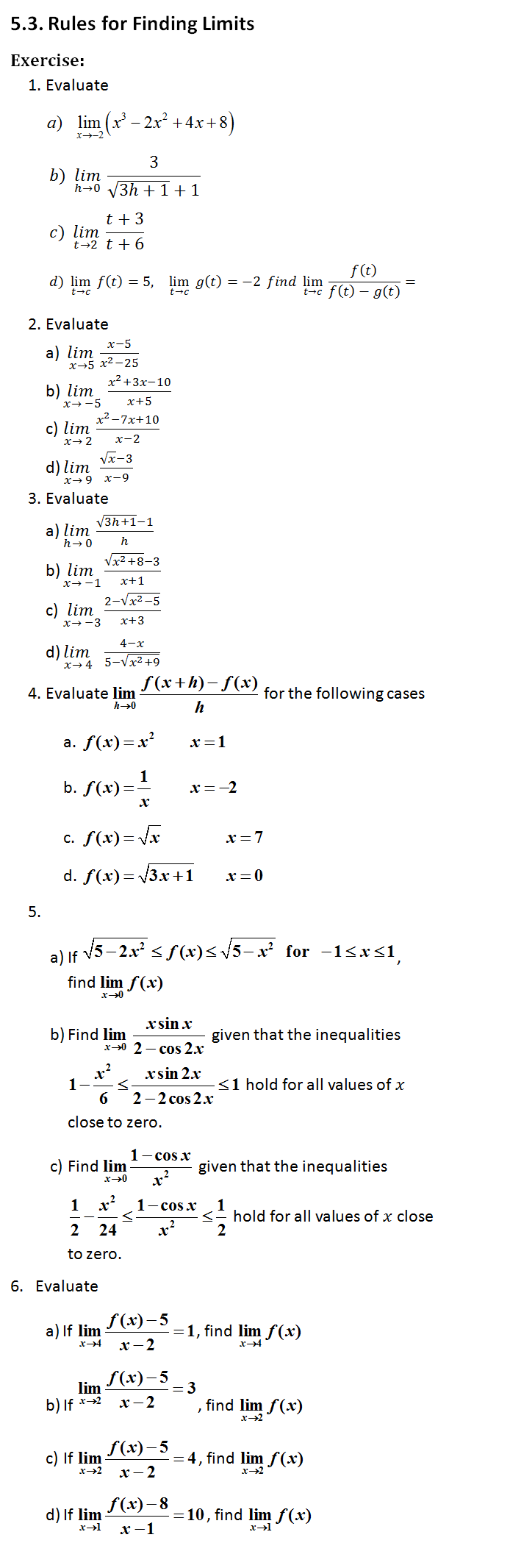
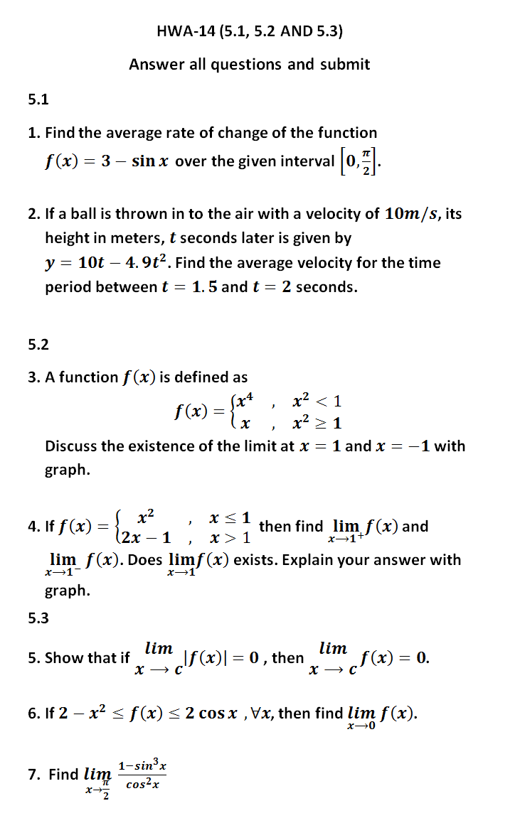
Module 5.3



Muthyala Maneeswar
N150945
CS-05

TO GO BACK